0 votes
1.1k views
in Uncategorized by
reopened

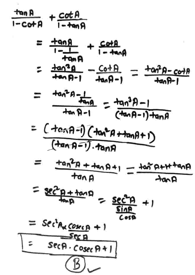
The expression \({\tan A\over{1-cotA}}+{cot A\over{1-tan A}}\)   can be written as 

A) sinAcosA+1

B)secAcosecA+1

C)tanA+cotA 

D)secA+cosecA

1 Answer

0 votes
by
selected
 
Best answer

The correct answer is b) secA cosecA+1  

tana/1-cota+cota/1-tana

 

Related questions

Doubtly is an online community for engineering students, offering:

  • Free viva questions PDFs
  • Previous year question papers (PYQs)
  • Academic doubt solutions
  • Expert-guided solutions

Get the pro version for free by logging in!

5.7k questions

5.1k answers

108 comments

648 users

...